閉じる

食と健康Lab

食と健康Lab 食と健康Lab

学術コラム 学術コラム 学術コラム

メソポーラスシリカ担持白金触媒による低温エチレン酸化と冷蔵庫触媒への応用

福岡 淳
北海道大学 触媒科学研究所 教授

1.はじめに

触媒は化学反応を促進する物質ですが、触媒が固体で反応物が気体や液体の場合には、反応後に触媒と生成物が容易に分離できます。そのため、工業プロセスの8割以上で固体触媒が用いられています1)。固体触媒のなかで、白金微粒子(ナノメートルサイズの場合にはナノ粒子と呼びます)を担体上に分散させた担持白金触媒は、ガソリン製造、自動車排ガス浄化など重要なプロセスで使われています。しかし、省エネ・省資源のためには、触媒の活性(反応速度)・選択性・耐久性の三つを向上させる必要があります。そのためには、触媒活性点となる金属粒子の形と大きさの制御が重要ですが、触媒の担体も重要です。なぜなら、担体の表面や細孔構造が不規則の場合には、それに応じて形や大きさが不揃いのナノ粒子ができてしまい、触媒性能の飛躍的な向上は望めないからです。しかし、実際に触媒担体として用いられているものの多くは、表面や細孔の構造が不均一です。従って、この問題を克服し触媒性能を大幅に向上するために、我々は規則的な細孔構造をもつメソポーラスシリカを利用しています。細孔内部に形や大きさが揃った金属ナノ粒子を合成できれば、活性・選択性の高い触媒反応が実現できるのではないかと考えています。
本稿では、最近、我々が行っているメソポーラスシリカ担持白金触媒による低温エチレン酸化と冷蔵庫触媒への応用について紹介します。

2.メソポーラスシリカとは

メソポーラスシリカはシリカ(二酸化ケイ素、SiO2)の一種ですが、2~10nmの均一な規則性細孔をもち、通常のアモルファスシリカ(200~300 m2/g)に比べ大きな表面積をもちます(数百~1000 m2/g)。この規則性細孔と大表面積という特色から、触媒担体として魅力的な材料です。1990年代に早稲田大学とモービル社が先行して研究を行い、代表例としてはMCM-41(モービル社)、FSM-16(豊田中研)、SBA-15(カリフォルニア大学)があります2-5)。それ以来、触媒反応に応用した報告は膨大な数に上りますが、メソポーラスシリカを触媒として用いた実用化例はおそらく無いと思われます。我々は、メソポーラスシリカ担持白金触媒に焦点をあてて研究を行っており(図1)、その一部について2006年から太陽化学と共同研究を行っています。

メソポーラスシリカとは

図1. メソポーラスシリカ担持白金触媒

3.一酸化炭素酸化とエチレン酸化

触媒反応としては、まず燃料電池用水素の改質反応を行いました。これは、水素ガス中に含まれる微量の一酸化炭素(CO)を選択的に酸化除去する反応(式1)ですが、メソポーラスシリカ担持白金触媒は通常のアモルファスシリカ担持のものよりも低温で高活性を示します6)。次に、Pt上でCOと同様な吸着状態をとるエチレン(C2H4)の酸化を検討しました。エチレンの酸化反応では、完全に二酸化炭素まで反応させずに、部分酸化によるエチレンオキシドの生成が夢の反応と言われるくらいの難反応です(式2)。エチレンオキシドに水を付加するとエチレングリコールになり、不凍液やPETなどのポリエステル樹脂の原料としての用途があります。しかし、Pt/MCM-41を用いてエチレンの酸化を行うと、エチレンオキシドが得られずにCO2まで酸化されてしまうことが分かりました(式3)。エチレンを酸化してCO2が得られても合成化学上の意義はありませんので、2007年頃にこの研究を休止しました。

一酸化炭素酸化とエチレン酸化

しかし、約3年後にこの研究を再開しました。それは、文献調査により低濃度のエチレンを低温でCO2まで酸化できれば、野菜や果物の貯蔵に使えるということを知ったからです。エチレンを有用化合物に変換する合成化学的な意義ではなく、エチレンを除去することを目的とする環境対策としての用途があったのです。そこで、これに焦点をあてて研究を進めました。
エチレンは、植物のなかでアミノ酸の1種であるメチオニンの反応により生産されます7,8)。エチレンは植物ホルモンであり、ごく低濃度でも野菜や果物の成熟を促進します。その活性は非常に高く、アボガド、バナナ、メロン、マンゴーなどの果物では0.1~1.0 ppmのエチレン濃度で成熟が促進されます。冷蔵庫の野菜室に野菜や果物を入れると、熟成が進むことを経験している方は多いと思います。そこで、野菜や果物の熟成を抑制し少しでも長く新鮮さを保つために、エチレンの除去技術が求められてきました。
代表的なエチレン除去方法は、吸着材の利用です。代表的な例は活性炭で、におい成分と同様にエチレンを吸着する能力をもっていますが、吸着容量には限界があり吸着が飽和すれば交換が必要となります。また、化学反応を利用したエチレン分解も報告されています。例えば、酸化剤として過マンガン酸カリウムをシリカに担持したものが使われていますが、この方法の欠点は化学量論的な反応なので、過マンガン酸カリウムが消費されると反応が継続しないことです。そのため、エチレン除去期間が過マンガン酸カリウムの量に依存してしまい、活性炭同様に交換が必要となります。
一方、触媒法による酸化分解は、定常的に長期間エチレンを除去する技術として有用です。既に光触媒であるTiO2やWO3を使ったものが知られており、一部は冷蔵庫用の触媒として搭載されました。しかし、光触媒は光源を必要とし、さらに分解活性の向上が課題です。光源が不要なものとして、担持金属触媒によるエチレン酸化が検討されています。白金粒子を担持した固体酸化物触媒(Pt/Ce0.64Zr0.16Bi0.20O1.90/γ-Al2O3)は1 %エチレンガスを65 oCにて完全分解できることが報告されています9)。また、メソポーラス酸化コバルト担持金触媒(Au/mesoporous Co3O4)は0 oCにおいて低濃度エチレン(50 ppm)を効率よく酸化分解(転化率:76-94 %)できることが見出されています10)。しかし、食品貯蔵への応用という観点から、低濃度エチレンを完全に分解除去できる固体触媒の開発が要望されていました。そこで我々は、メソポーラスシリカ担持白金触媒を用いて、低濃度エチレンの低温完全酸化について検討を開始しました。

4.メソポーラスシリカ担持白金触媒によるエチレン酸化

はじめに、各種担体に塩化白金酸を担持し、酸化・還元処理をして白金ナノ粒子が分散した触媒を調製しました。図2にメソポーラスシリカMCM-41担持白金触媒(Pt/MCM-41)の透過電子顕微鏡(TEM)像を示します。平均粒子径2.9 nmの白金ナノ粒子が、MCM-41の一次元細孔内(細孔径3 nm)に高分散担持されていることが分かります。

メソポーラスシリカ担持白金触媒によるエチレン酸化

図2.Pt/MCM-41のTEM像

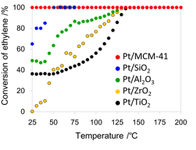
各種触媒を用いてエチレンの酸化反応を検討したところ、Pt/Al2O3、Pt/TiO2、Pt/ZrO2は125 oC以下でエチレン転化率が低下しましたが、Pt/SiO2は他の触媒に比べて低温領域でも高いエチレン転化率を示しました(図3)。しかし、25 oCにおいてエチレンの完全分解が可能だったのはPt/MCM-41だけでした。また、Pt/MCM-41ではエチレンの炭素はすべてCO2になり、炭素バランスが100%であることも確認しました。

メソポーラスシリカ担持白金触媒によるエチレン酸化

図3.担持金属触媒によるエチレンの酸化反応(Pt担持量5 wt%、エチレン0.32 %)

次に、0 oCにおけるエチレンの分解活性を検討しました。ここでは、エチレン濃度とPt担持量をそれぞれ50 ppmと1 wt%に下げたものを使いました。図4に示すように、Pt/MCM-41は反応初期から1時間以上にわたって99.8 %以上の高いエチレン転化率を示しますが、転化率は徐々に低下します。この活性低下は、反応で生成した水分子が白金上へ吸着して、エチレンが白金上に吸着できないためであると考えられます。そこで、活性低下した触媒をヘリウム気流下、200oCで加熱して水を除くと予想通り活性が回復しました。3回の繰り返し反応においても活性低下は見られないことから、触媒の構造は変化せず再使用可能であることが分かりました11)

メソポーラスシリカ担持白金触媒によるエチレン酸化

図4.メソポーラスシリカ担持白金触媒による0 ℃でのエチレン酸化反応(Pt担持量1 wt%、エチレン50 ppm)

筆者は、触媒研究において、反応機構の検討が触媒材料や反応の開発とともに重要であると考えています。反応機構の理解により、新触媒の設計指針が得られることがあるからです。そこで、エチレン酸化の反応機構を検討しました。分析手法としては、赤外分光法を用い触媒反応と同様の条件で反応を追跡しました。それに基づいた推定機構を図5に示します。ここでは、まずエチレンと酸素が白金粒子上に吸着します。このとき、白金上で酸素分子(O2)が開裂して原子状の酸素種(O)が生成すると考えています。次に、エチレンのC=C結合が開裂するとともに原子状酸素と反応して、ホルムアルデヒド(CH2O)が生成します。その後、ホルムアルデヒドが分解してCOと原子状水素(H)が生成し、原子状酸素と反応してCO2と水に変換されます。ホルムアルデヒドの一部はギ酸(HCOOH)へと変換され、メソポーラスシリカ表面で安定化されますが、触媒反応のサイクルには入らず安定化しています(スペクテーターと言います)。
機構研究を始める前には、C=C結合の開裂が遅い反応となり、吸着したエチレンが観測されると予測したのですが、実際にはエチレン種は観測されず白金上のCO(Pt-CO)が観測されました。そのため、COの酸化が遅い反応(律速段階)となっている可能性があります。反応機構のなかでどこが律速になっているかを知ることは、きわめて重要なことです。当初の予想とは異なる結果となっているので、本当にCO酸化が律速なのか、現在検討しています。今のところ、Pt/MCM-41の高い触媒活性の原因は、C=C結合の開裂とCO酸化に有利な白金ナノ粒子を高分散担持できるシリカの表面状態を与えることができることと、メソポーラスシリカの高い表面積で生成する水の拡散が有利となるためであると考えています。

メソポーラスシリカ担持白金触媒によるエチレン酸化

図5.エチレン酸化の推定反応機構

5.おわりに

メソポーラスシリカ担持白金触媒は、0 oCにおいて低濃度エチレンを完全分解できることを見出しました。生成した水による活性低下は見られますが、加熱処理によって吸着水を除去すると初期活性が回復して繰り返し使用できます。これらの成果をまとめて、2013年5月に論文を発表しました11)。そして、北海道大学と太陽化学の共同研究による成果として、同月に共同でプレスリリースを行いました。それがきっかけとなり日立アプライアンス社との共同開発が始まり、メソポーラスシリカ担持白金触媒を野菜室に搭載した新型冷蔵庫が2015年8月に発売されました。メソポーラスシリカを用いた実用化触媒の最初の開発例と考えています。今後の課題は、反応機構の詳細とメソ細孔の効果を解明することです。
最後に固体触媒の歴史について触れたいと思います。固体触媒の研究分野は、社会の要請に基づいて発展してきました。1900年頃には食糧増産のためにアンモニア合成(ハーバー・ボッシュ法)、1940年代には石炭から石油へのエネルギー転換によるガソリンやプラスチックスの製造、2000年代からは環境・温暖化対策のための排ガス触媒やバイオマス・シェールガスの利用です。ここでは、「使える触媒」の研究が重要であり、それぞれのニーズにこたえる形で進展しました。活性点、担体効果などの学術的な概念は後からついてきた、という印象です。今後の世界的な課題の一つは、食料危機です。2015年現在で世界の人口は73億人ですが、2050年には100億人に迫ると予想されています。つまり今後35年間で人口が倍増するわけですから、食料が不足することは明らかです。触媒が食料貯蔵の技術として、食料不足の低減に役立つことを期待します。

(2015年12月)

参考文献
1) https://www.shokubai.org/general/kaisetsu/
2) T. Yanagisawa, T. Shimizu, K. Kuroda, C. Kato, Bull. Chem. Soc. Jpn, 63, 988 (1990).
3) C. T. Cresge, M. E. Leonowicz, W. J. Roth, J. C. Vatuli, J. S. Beck, Nature, 359, 710 (1992).
4) S. Inagaki, Y. Fukushima, K. Kuroda, J. Chem. Soc., Chem. Commun., 680 (1993).
5) D. Zhao, J. Feng, Q. Hua, N. Melosh, G. H. Fredrickson, B. F. Chmelka, G. D. Stucky, Science, 279, 548 (1998).
6) A. Fukuoka, J. Kimura, T. Oshio, Y. Sakamoto, M. Ichikawa, J. Am. Chem. Soc., 129, 10120 (2007).
7) 茶珍和雄,日本食品低温保存学会誌15,87 (1989).
8) N. Keller, M. Ducamp, D. Robert, V. Keller, Chem. Rev., 113, 5029 (2013).
9) N. Imanaka, T. Masui, A. Terada, H. Imadzu, Chem. Lett., 37, 42 (2008).
10) C. Y. Ma, Z. Mu, J. J. Li, Y. G. Jin, J. Cheng, G. Q. Lu, Z. P. Hao, S. Z. Qiao, J. Am. Chem. Soc., 132, 2608 (2010); W. J. Xue, Y. F. Wang, P. Li, Z. Liu, Z. P. Hao, C. Y. Ma, _Catal. Commun., 12, 1265 (2011).
11) C. Jiang, K. Hara, A. Fukuoka, Angew. Chem. Int. Ed., 52, 6265 (2013).

太陽化学のメールマガジン

太陽化学からみなさまへ情報提供のためにお送りしています。
「情報と出会うキッカケ」となれば幸いです。
知ってトクする「技術・製品・提案情報」をお届けします。

お問い合わせ

製品情報、IR、その他のお問い合わせは
下記ページからお願いいたします。